Exceptional Career Opportunity 2026: CEO at Federal Government Pensions Fund Management Company

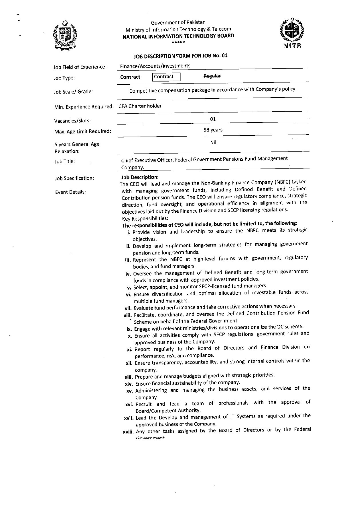
Exceptional Career Opportunity 2026. The Federal Government Pensions Fund Management Company, operating under the Finance Division, is a premier public sector entity dedicated to the strategic oversight of national pension assets. This vacancy announcement for the position of Chief Executive Officer (CEO) offers a prestigious leadership role for highly skilled Accountancy & Finance professionals in Islamabad. As the head of this Non-Banking Finance Company (NBFC), the successful candidate will drive the management of Defined Benefit and Defined Contribution Pension Schemes to ensure long-term financial stability.

This contract-based job is a unique chance to lead a vital financial institution and contribute to the Government of Pakistan’s economic framework. With only 1 vacancy available, this high-profile recruitment seeks a visionary leader capable of navigating complex investment landscapes and regulatory requirements.

1- Eligibility Criteria for Exceptional Career Opportunity 2026

To qualify for this elite leadership role, candidates must meet the stringent academic and professional benchmarks set by the Finance Division.

CriteriaRequirement Details for Exceptional Career Opportunity 2026
EducationMBA (Finance/Accounts), Master’s in Finance/Economics/Law, or CFA Charter holder.
ExperienceMinimum 20 years of overall professional experience.
Relevant ExperienceAt least 10 years in financial research, investment, or risk management.
Senior LeadershipAt least 5 to 10 years in a senior role (Head of Dept, CEO, or equivalent).
CertificationsPreferred: CA, ACCA, FRM, or FSA/ASA membership.
FieldSpecialized expertise in Accountancy & Finance and NBFC regulations.

2- Post Details and Job Description for Exceptional Career Opportunity 2026

The Chief Executive Officer (CEO) will serve as the administrative and strategic head of the Federal Government Pensions Fund Management Company. Key responsibilities involve overseeing the Defined Contribution Pension Fund Scheme and managing diverse investment portfolios. The CEO must ensure that all operations strictly follow the SECP NBFC Regulations 2008. This position is based in Islamabad on a contract basis for an initial period of three years, offering a competitive market-based salary package. The role requires a deep understanding of corporate governance and the ability to represent the company at high-level national and international financial forums.

3- Age Limit for Exceptional Career Opportunity 2026

According to the official vacancy announcement, the maximum age limit for the post of CEO is 58 years. Applicants must not exceed this age on the closing date of the application to be considered for the recruitment process.

4- Required Documents for Exceptional Career Opportunity 2026

Candidates applying for this Finance Division job must prepare a comprehensive application dossier. Ensure all documents are clear and valid:

  • A detailed and updated CV/Resume highlighting relevant leadership experience.

  • Attested copies of all educational degrees and transcripts (HEC recognized).

  • Experience certificates and testimonials from previous employers.

  • A recent passport-size photograph.

  • Copy of valid CNIC and National Tax Number (NTN).

  • Any additional professional certifications (CFA, CA, ACCA, etc.).

5- Advertisement for Exceptional Career Opportunity 2026

Exceptional Career Opportunity 2026: CEO at Federal Government Pensions Fund Management Company
Exceptional Career Opportunity 2026: CEO at Federal Government Pensions Fund Management Company

6- How to Apply for Exceptional Career Opportunity 2026

The application process for the Federal Government Pensions Fund Management Company is streamlined through the National Job Portal. Follow these steps to submit your candidacy:

  1. Visit the official National Job Portal (NJP) website: Apply Online

  2. Search for the Chief Executive Officer vacancy under the Finance Division.

  3. Fill out the online application form with accurate personal and professional details.

  4. Upload the required scanned documents as specified in the portal.

  5. Submit the application before the deadline on 11 Jan 2026.

  6. Alternatively, check the Finance Division’s website (www.finance.gov.pk) for any specific physical submission formats if required.

7- Terms and Conditions for Exceptional Career Opportunity 2026

The appointment is strictly on a contract basis for three years, subject to performance evaluation. The Finance Division reserves the right to cancel the recruitment process at any stage without prior notice. Only shortlisted candidates who meet the “Fit and Proper” criteria of SECP will be contacted for interviews. No TA/DA will be provided for the interview process. Candidates already working in government service should apply through the proper channel with an NOC.

8- Frequently Asked Questions (FAQs) for Exceptional Career Opportunity 2026

What is the last date to apply for the CEO position in 2026?

The final date to submit your application for the Chief Executive Officer post is 11 Jan 2026.

Is this a permanent or contract-based job?

This is a contract-based professional position with an initial tenure of three years, which may be extendable based on performance.

What is the required field of experience for this vacancy?

Applicants must have extensive experience in Accountancy & Finance, specifically in fund management, investment analysis, and financial risk management.

Where will the CEO be stationed?

The selected candidate will be based at the head office in Islamabad, Pakistan.

Can I apply if I have 15 years of experience?

No, the mandatory requirement is a minimum of 20 years of overall professional experience, with at least 10 years in a relevant finance role.

Does the candidate need to follow SECP regulations?

Yes, the candidate must fulfill the Fit and Proper Criteria as specified in the NBFC Regulations 2008 by the Securities and Exchange Commission of Pakistan.

For More Jobs, Click Here:

Incredible Career Opportunity: Join PPRA as a Monitoring Specialist in 2026

Exciting Career Oppurtunity: Apply for Special Education Department Punjab Jobs 2026

Leave a Comment